개념
세그먼트 트리는 간격에 대한 정보를 저장하는 자료구조입니다.
이를 이용하면 구간 합, 구간 최댓값/최솟값 들을 빠르게 구할 수 있습니다.
보통 구간 합을 구하는 방법은 해당 구간을 전부 탐색하면서 합을 구하는 방식입니다.
이 방법은 O(N)의 시간이 걸립니다.
하지만 세그먼트 트리의 경우 구간을 탐색하는데 O(lgN)의 시간밖에 걸리지 않습니다.
해당 글은 구간의 최솟값들을 구하는 방법으로 설명하겠습니다.
https://www.acmicpc.net/problem/14438
14438번: 수열과 쿼리 17
길이가 N인 수열 A1, A2, ..., AN이 주어진다. 이때, 다음 쿼리를 수행하는 프로그램을 작성하시오. 1 i v : Ai를 v로 바꾼다. (1 ≤ i ≤ N, 1 ≤ v ≤ 109) 2 i j : Ai, Ai+1, ..., Aj에서 크기가 가장 작은 값을
www.acmicpc.net
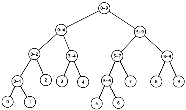
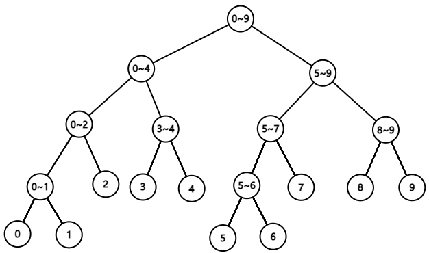
트리의 구조
트리의 노드들은 특정 구간을 의미합니다.
예를 들어 0~9 인덱스를 저장한다고 가정하겠습니다.
해당 구간을 절반만큼 쪼개어서( (0 + 9) / 2 ) 두 개의 자식 노드에 저장합니다.
그러면 자식 노드에는 0~4, 5~9의 구간이 저장됩니다.
이런 방식으로 자식 노드에 현재 노드의 구간의 절반을 쪼개어서 각각 저장하고
노드의 구간이 1~1처럼 한개의 숫자만을 나타내면 자식을 더 이상 만들지 않습니다.
0~9 인덱스를 저장한다고 가정하고 트리를 만들어 보았습니다.
그렇다면 아래의 구조를 나타내게 됩니다.

각각의 노드는 구간을 나타낸다고 하면 노드의 내용에는 해당 구간의 최솟값들이 담기게 됩니다.
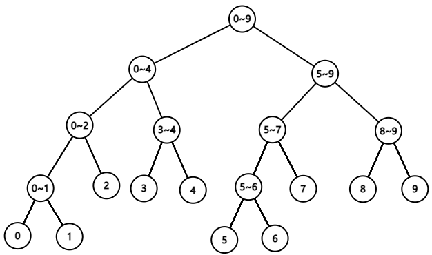
트리의 탐색
트리의 탐색은 트리를 내려가면서 탐색을 원하는 구간에 해당하는 노드가 발견된다면 그 값을 가지고 빠져나오게 됩니다.
예를 들어, 3~5 구간을 탐색한다고 가정해 보겠습니다.
먼저 루트노드에서 자식을 검사합니다. 0~4, 5~9는 3~5를 포함하는 값이 있으므로 두 개의 노드 모두 탐색합니다.
0~4 노드에서는 0~2노드는 3~5 중 포함하는 값이 없으므로 탐색하지 않고 3~4는 해당 구간 전체가 3~5에 포함되므로 리턴됩니다.
5~9 노드에서는 5를 찾기 위해서 계속 내려가서 5 노드를 만날 때 리턴하게 됩니다.
리턴되는 값들을 부모 노드에서 모아 그중 최솟값들만 리턴한다면 루트 노드에는 해당 구간의 최솟값들만 모이게 됩니다.
코드
// 트리 구성
private static int makeTree(int s, int e, int node) {
if(s == e) return tree[node] = arr[s];
int m = (s + e) / 2;
return tree[node] = Math.min(makeTree(s, m, node * 2), makeTree(m + 1, e, node * 2 + 1));
}
// 노드의 값 변경
private static int change(int s, int e, int node, int i, int v) {
if(s == i && e == i) return tree[node] = v;
if(e < i || i < s) return tree[node];
int m = (s + e) / 2;
return tree[node] = Math.min(change(s, m, node * 2, i, v), change(m + 1, e, node * 2 + 1, i, v));
}
// 구간의 최솟값 찾기
private static int findMin(int s, int e, int node, int left, int right) {
if(left <= s && e <= right) return tree[node];
if(e < left || right < s) return Integer.MAX_VALUE;
int m = (s + e) / 2;
return Math.min(findMin(s, m, node * 2, left, right), findMin(m + 1, e, node * 2 + 1, left, right));
}
References
'CS > 알고리즘 개념' 카테고리의 다른 글
| Union-Find (0) | 2021.07.16 |
|---|---|
| 이진 탐색(binary search) (0) | 2021.07.04 |
| 배낭 문제(Knapsack Problem) (0) | 2021.05.18 |
| 가장 긴 증가하는 부분 수열(LIS) (0) | 2021.05.15 |
| 수학 (0) | 2020.10.24 |